초미세먼지는 호흡기에만 영향을 주는 것이 아니라 혈관을 타고 이동하여 우리 몸의 가장 중요한 기관인 뇌에도 치명적인 영향을 미칠 수 있습니다. 최근 연구에 따르면 초미세먼지가 신경세포의 손상과 염증을 일으키고 혈관을 좁게 만들어 뇌졸중, 치매, 인지 저하, 우울증 등의 다양한 신경학적 문제를 초래할 수 있다는 사실이 점점 더 명확하게 밝혀지고 있습니다. 이번 글에서는 초미세먼지가 뇌에 미치는 작용과 그로 인한 주요 뇌질환, 그리고 이를 보호하는 방법에 대해 더 깊이 있게 분석해 보겠습니다.

1. 2025년 초미세먼지가 뇌에 미치는 작용
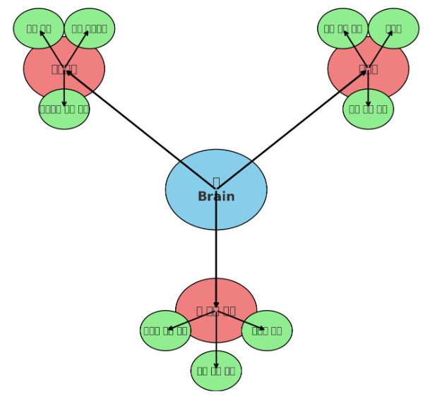
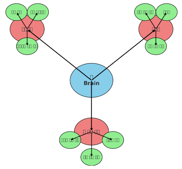
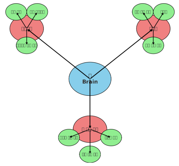
초미세먼지는 그 크기가 2.5 마이크로미터 이하로 머리카락 두께의 1/40 정도로 매우 작아 폐를 지나 혈액으로 바로 침투하거나 후각 신경을 타고 뇌로 유입될 수 있습니다. 이런 미세한 입자가 체내에 쌓이면서 뇌에 다음과 같은 부정적인 작용을 일으킵니다. 사실 저는 예전까지만 해도 초미세먼지를 단순히 호흡기 질환만 유발하는 존재쯤으로 여겼습니다. 외출할 때 목이 따갑거나 눈이 따끔할 때면 불쾌하긴 했지만 그 영향이 우리 몸 깊숙한 곳인 뇌까지 닿는다는 사실을 알게 된 건 오래되지 않았습니다. 초미세먼지는 몸의 방어 체계인 면역 시스템을 자극해 염증 반응을 촉진시킵니다. 염증은 원래 외부 침입자를 방어하는 역할을 하지만 초미세먼지에 만성적으로 노출될 경우 염증이 과도하게 지속되어 신경세포까지 손상시킵니다. 뇌에서 발생하는 염증은 특히 미세아교세포라는 세포를 과도하게 활성화시켜서 뇌세포를 공격하는데 이는 치매와 같은 퇴행성 뇌 질환으로 이어질 수 있어서 위험합니다. 그리고 혈관 내벽에 손상을 주어 혈액의 흐름을 방해하고 뇌로 가는 산소와 영양분의 공급을 막거나 줄입니다. 그 결과 뇌혈관이 막히거나 터지는 질환인 뇌졸중 발생 위험이 증가합니다. 개인적으로도 혈압이 높은 아버지를 떠올리면 이런 정보들이 남 일 같지 않게 느껴집니다. 뇌 미세혈관 손상은 인지 저하와 치매로 이어지는 중요한 요인으로 작용합니다. 그리고 활성산소를 증가시키면서 산화 스트레스를 유발합니다. 활성산소는 신경세포를 공격해 노화를 촉진하고 뇌세포의 기능을 저하시킵니다. 이로 인해 기억력과 학습 능력, 집중력 등이 떨어지고 장기적으로는 우울증이나 불안장애 같은 정신 질환이 생길 가능성도 커집니다.
2. 주요 뇌 질환
초미세먼지에 장기적으로 노출되면 어떤 뇌 질환이 발생할 수 있을까요? 다양한 연구 결과를 바탕으로 구체적인 사례를 분석해 보겠습니다. 초미세먼지 노출은 치매와 알츠하이머병 발병 위험을 높인다는 연구 결과가 다수 있습니다. 미국 서던캘리포니아 대학교(USC) 연구에서는 초미세먼지 농도가 높은 지역에 사는 노인들이 치매에 걸릴 확률이 92% 더 높다는 충격적인 결과가 나왔습니다. 초미세먼지는 뇌에 단백질 덩어리인 플라크를 축적시키고 이 플라크가 신경세포 사이의 신호 전달을 방해하면서 알츠하이머병을 촉진시킬 수 있습니다. 그리고 초미세먼지는 혈액 점도를 높이고 피떡인 혈전이 형성되기 쉽게 만들어 뇌졸중 위험을 높입니다. 유럽 심혈관 연구에서는 초미세먼지 농도가 10 마이크로그램/세제곱미터 증가할 때마다 뇌졸중 발생 위험이 15% 증가한다는 충격적인 결과가 보고 되었습니다. 특히, 고혈압이나 당뇨병이 있는 사람은 초미세먼지로 인한 뇌졸중 위험이 더 높아질 수 있습니다. 저는 몇 해 전 가까운 친척이 갑작스러운 뇌졸중으로 쓰러졌던 경험이 있어서 이 부분은 특히 남의 이야기처럼 들리지 않았습니다. 그리고 아이와 노인의 경우 초미세먼지에 더욱 민감하게 반응하며 인지 발달의 저하 또는 인지 기능의 저하가 나타날 수 있습니다. 스페인 바르셀로나 글로벌 건강연구소 연구에 따르면 초미세먼지 농도가 높은 지역에 사는 아이들은 집중력과 문제 해결 능력이 더 낮은 것으로 나타났습니다. 노인 역시 초미세먼지 노출이 많을수록 기억력과 언어 능력, 사고력 등이 저하되는 경향이 있었습니다. 정신적으로는 초미세먼지는 신경전달물질의 균형을 무너뜨리고 스트레스 호르몬인 코르티솔 분비를 촉진해서 우울증과 불안장애를 악화시킬 수 있습니다. 중국 베이징 연구에서는 초미세먼지 농도가 높은 날에는 우울증 환자의 병원 방문 횟수가 증가한다는 결과가 나왔습니다. 이는 신경염증과 산화 스트레스가 감정 조절을 담당하는 편도체와 전두엽 등의 뇌 영역에 영향을 미치기 때문입니다.
3. 뇌를 보호하는 방법
무엇보다 초미세먼지의 위험을 인지하고 예방하는 것이 중요합니다. 다음은 뇌 건강을 지키기 위해 실천할 수 있는 방법들입니다. 실시간으로 대기질을 확인하고 초미세먼지 농도가 높은 날에는 외출을 자제하거나 KF94, KF99의 보건용 마스크를 착용해서 미세먼지 흡입을 최소화해야 합니다. 위험성을 알게 되고 저는 하루하루를 조금 더 조심스럽게 살아가려고 노력하고 있습니다. 그저 마스크를 쓰는 정도로 끝내기엔 그 영향이 너무 크기 때문입니다. 항산화 성분이 풍부한 음식을 섭취하는 것도 활성산소를 제거해서 산화 스트레스를 줄이고 뇌세포 손상을 예방하는 데 도움이 됩니다. 베리류나 녹황색 채소, 견과류, 등 푸른 생선 등 비타민 C, 비타민 E, 오메가 3 지방산, 폴리페놀 등이 풍부한 식품을 섭취하셔야 합니다. 가정이나 사무실에 공기청정기를 두고 자주 사용하고 실내에 초미세먼지가 유입되지 않도록 창문을 닫아 공기 질을 관리해야 합니다. 초미세먼지는 입자가 너무 작아 창문틀 사이로도 유입되기 때문에 공기청정기는 주기적으로 사용해야 합니다. 활동적으로 뇌를 보호하는 방법은 규칙적인 유산소 운동을 하는 것입니다. 유산소 운동은 뇌로 가는 혈액의 흐름을 개선하고 신경세포 재생을 촉진해서 초미세먼지로 인한 신경 손상을 완화하는 데 효과적입니다. 적정시간의 수면은 뇌를 회복시키고 스트레스로 인한 뇌 염증을 줄이는 데 중요한 역할을 합니다. 충분한 수면을 취해야 하고 명상과 복식호흡과 같은 스트레스 관리 방법을 실천해야 합니다.
결론
초미세먼지는 보이지 않지만 우리의 뇌와 신경계에 심각한 영향을 미칠 수 있습니다. 치매, 인지 저하, 뇌졸중, 우울증 등 다양한 질환을 예방하기 위해서는 대기질 관리와 생활 속 건강 습관이 필수적입니다. 초미세먼지로 인해서 부모님의 뇌건강까지 해칠 수 있다고 생각하니 무척 겁이 납니다. 작은 실천으로도 뇌 건강을 지킬 수 있으니 오늘부터 마스크를 잘 착용하고 항산화 식품을 많이 섭취해야겠습니다. 그리고 적절한 유산소 운동과 함께 스트레스 관리를 잘해서 더욱 건강한 미래를 만들어야 합니다.